A constructor is a concise way to initialize class properties.
It is a special member function that is called when an object is instantiated (created). However, how they work in Kotlin is slightly different.
In Kotlin, there are two constructors:
- Primary constructor - concise way to initialize a class
- Secondary constructor - allows you to put additional initialization logic
Primary Constructor
The primary constructor is part of the class header. Here's an example:
class Person(val firstName: String, var age: Int) {
// class body
}
The block of code surrounded by parentheses is the primary constructor: (val firstName: String, var age: Int).
The constructor declared two properties: firstName (read-only property as it's declared using keyword val) and age (read-write property as it is declared with keyword var).
Example: Primary Constructor
fun main(args: Array<String>) {
val person1 = Person("Joe", 25)
println("First Name = ${person1.firstName}")
println("Age = ${person1.age}")
}
class Person(val firstName: String, var age: Int) {
}
When you run the program, the output will be:
First Name = Joe Age = 25
When the object of Person class is created, "Joe" and 25 values are passed as if Person is a function.
This initializes firstName and age properties of person1 object to "Joe" and 25 respectively.
There are other ways of using primary constructors.
Primary Constructor and Initializer Blocks
The primary constructor has a constrained syntax, and cannot contain any code.
To put the initilization code (not only code to initialize properties), initializer block is used. It is prefixed with init keyword. Let's modify the above example with initializer block:
fun main(args: Array<String>) {
val person1 = Person("joe", 25)
}
class Person(fName: String, personAge: Int) {
val firstName: String
var age: Int
// initializer block
init {
firstName = fName.capitalize()
age = personAge
println("First Name = $firstName")
println("Age = $age")
}
}
When you run the program, the output will be:
First Name = Joe
Age = 25
Here, parameters fName and personAge inside the parenthesis accepts values "Joe" and 25 respectively when person1 object is created. However, fName and personAge are used without using var or val, and are not properties of the Person class.
The Person class has two properties firstName, and age are declared.
When person1 object is created, code inside initializer block is executed. The initializer block not only initializes its properties but also prints them.
Here is another way to perform the same task:
fun main(args: Array<String>) {
val person1 = Person("joe", 25)
}
class Person(fName: String, personAge: Int) {
val firstName = fName.capitalize()
var age = personAge
// initializer block
init {
println("First Name = $firstName")
println("Age = $age")
}
}
To distinguish the constructor parameter and property, different names are used (fName and firstName, and personAge and age). It's more common to use _firstName and _age instead of completely different name for constructor parameters. For example:
class Person(_firstName: String, _age: Int) {
val firstName = _firstName.capitalize()
var age = _age
// initializer block
init {
... .. ...
}
}
Default Value in Primary Constructor
You can provide default value to constructor parameters (similar to providing default arguments to functions). For example:
fun main(args: Array<String>) {
println("person1 is instantiated")
val person1 = Person("joe", 25)
println("person2 is instantiated")
val person2 = Person("Jack")
println("person3 is instantiated")
val person3 = Person()
}
class Person(_firstName: String = "UNKNOWN", _age: Int = 0) {
val firstName = _firstName.capitalize()
var age = _age
// initializer block
init {
println("First Name = $firstName")
println("Age = $age\n")
}
}
When you run the program, the output will be:
First Name = Joe Age = 25 person2 is instantiated First Name = Jack Age = 0 person3 is instantiated First Name = UNKNOWN Age = 0
Kotlin Secondary Constructor
In Kotlin, a class can also contain one or more secondary constructors. They are created using constructor keyword.
Secondary constructors are not that common in Kotlin. The most common use of secondary constructor comes up when you need to extend a class that provides multiple constructors that initialize the class in different ways. Be sure to check Kotlin Inheritance before you learn it.
Here's how you can create a secondary constructor in Kotlin:
class Log {
constructor(data: String) {
// some code
}
constructor(data: String, numberOfData: Int) {
// some code
}
}
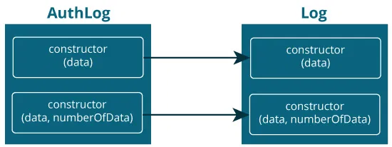
Here, the Log class has two secondary constructors, but no primary constructor.
You can extend the class as:
class Log {
constructor(data: String) {
// code
}
constructor(data: String, numberOfData: Int) {
// code
}
}
class AuthLog: Log {
constructor(data: String): super(data) {
// code
}
constructor(data: String, numberOfData: Int): super(data, numberOfData) {
// code
}
}
Here, constructors of the derived class AuthLog calls the corresponding constructor of the base class Log. For that, super() is used.
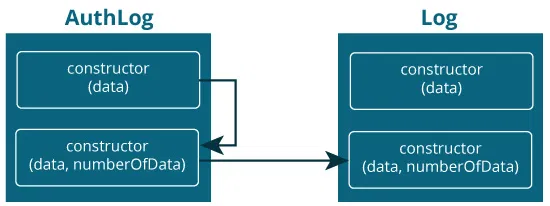
In Kotlin, you can also call a constructor from another constructor of the same class (like in Java) using this().
class AuthLog: Log {
constructor(data: String): this(data, 10) {
// code
}
constructor(data: String, numberOfData: Int): super(data, numberOfData) {
// code
}
}

Example: Kotlin Secondary Constructor
fun main(args: Array<String>) {
val p1 = AuthLog("Bad Password")
}
open class Log {
var data: String = ""
var numberOfData = 0
constructor(_data: String) {
}
constructor(_data: String, _numberOfData: Int) {
data = _data
numberOfData = _numberOfData
println("$data: $numberOfData times")
}
}
class AuthLog: Log {
constructor(_data: String): this("From AuthLog -> " + _data, 10) {
}
constructor(_data: String, _numberOfData: Int): super(_data, _numberOfData) {
}
}
When you run the program, the output will be:
From AuthLog -> Bad Password: 10 times
Note: The secondary constructor must initialize the base class or delegate to another constructor (like in above example) if the class has no primary constructor.